全国2010年10月高等教育自学考试《高等数学(工本)》试题
《自考视频课程》名师讲解,轻松易懂,助您轻松上岸!低至199元/科!
本试卷总分100分,考试时间150分钟。
一、单项选择题(每小题3分,共15分)
1.在空间直角坐标系下,方程2x^2+3y^2=6表示的图形为( )
A.椭圆
B.柱面
C.旋转抛物面
D.球面
3.设积分区域
≤R^2,0≤z≤1,则三重积分
( )
A.
B.
C.
D.
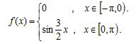
4.以y=sin 3x为特解的微分方程为( )
A.
B.
C.
D.
2.极限
arcsin(x+y^2)=( )
A.
B.
C.
D.
5.设正项级数
收敛,则下列无穷级数中一定发散的是( )
A.
B.
C.
D.
二、填空题(本大题共5小题,每空2分,共10分)
1.向量
与x轴的夹角
= __________。
2.设函数
,则
__________。
3.设
是上半球面
的上侧,则对坐标的曲面积分
= __________。
4.微分方程
的阶数是__________。
5.设 f(x) 是周期为
的函数,
上的表达式为
s(x)是f(x) 的傅里叶级数的和函数,则s(0) __________。
三、计算题(每小题5分,共60分)
1.设平面π过点P1(1,2,-1)和点P2(-5,2,7),且平行于y轴,求平面π的方程.
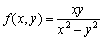
2.设函数
,求
.
3.设函数
,求全微分dz.
4.设函数
,其中f (u, v)具有一阶连续偏导数,求
和
.
5.求曲面x^2+y^2+2z^2=23在点(1,2,3)处的切平面方程.
9.计算对坐标的曲线积分
,其中C为区域D:| x |≤1,| y |≤1 的正向边界曲线.
11.判断无穷级数
的敛散性.
8.计算对弧长的曲线积分
,其中C是圆周x^2+y^2=4的上半圆.
7.计算三重积分
,其中Ω是由曲面z=x^2+y^2,z=0及x^2+y^2=1所围区域.
6.计算二重积分
,其中积分区域D:x^2+y^2≤a^2.
10.求微分方程
的通解.
12.将函数
展开为x+1的幂级数.
四、综合题(每小题5分,共15分)
1.设函数
,其中
为可微函数. 证明:
2.设曲线y=y (x)在其上点(x, y)处的切线斜率为
,且曲线过点(1,1),求该曲线的方程.
3.证明:无穷级数
.
本文标签:河南自考 高等数学(工本) 全国2010年10月高等教育自学考试《高等数学(工本)》试题
转载请注明:文章转载自(http://www.hazikao.net)
《河南自考网》免责声明:
1、由于各方面情况的调整与变化,本网提供的考试信息仅供参考,考试信息以省考试院及院校官方发布的信息为准。
2、本网信息来源为其他媒体的稿件转载,免费转载出于非商业性学习目的,版权归原作者所有,如有内容与版权问题等请与本站联系。联系邮箱:812379481@qq.com。









